Elschenbroich: Der Kosinussatz - wiederentdeckt als Flächensatz


Ein erster Hinweis 1975

 

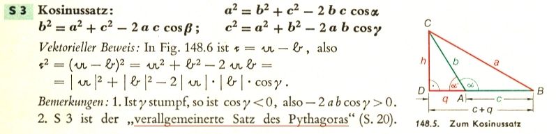
Lambacher Schweizer Geometrie 2 (1975)

Der verallgemeinerte Satz des Pythagoras!